Major Progress in Constraining Neutron Star Equation of State Using X-ray Timing Signals
Recently, the Observational High Energy Astrophysics group led by Professor Wenfei Yu at the Shanghai Astronomical Observatory (SHAO), in collaboration with Associate Professor Wenda Zhang of the National Astronomical Observatories of China (NAOC), has made a milestone achievement in the core science of X-ray timing astronomy -- constraining the equation of state of neutron stars using X-ray pulse profiles originating from hot spots on the surface of rapidly rotating neutron stars. The corresponding advance has been published online on 24 March in The Monthly Notices of the Royal Astronomical Society (MNRAS).
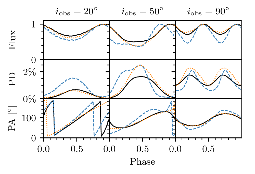
The research team has managed to employ general relativistic ray-tracing methods to calculate precise pulse profiles produced by hot spots on rapidly rotating neutron stars. The outcomes are in full agreement with several benchmark standards established by the leading international teams over more than 20 years. The theoretical foundations and associated numerical codes, named MONK-NS, integrate three-dimensional general relativistic ray-tracing and radiative transfer processes, inherently including the function to compute X-ray polarization radiation. Making use of its X-ray polarization calculations, the study also demonstrates, for the first time, that different geometries of hot spots will produce distinct characteristics of X-ray polarization, and delievers new model testing standards based on polarized pulse signals. These advancements represent a milestone achievement in both precision and accuracy of theoretical calculations of X-ray pulse profiles due to hot spot radiation on rapidly rotating neutron stars, laying the foundation for deriving accurate and stringent constraints on the neutron star mass and radius, and subsequently, the equation of state of neutron stars using observations from next-generation X-ray timing astronomical satellites.
Neutron stars serve as the cosmic laboratories for ultra-dense matter in the universe inaccessible in Earth laboratories. In some (1) rotation-powered millisecond pulsars and (2) accretion-powered millisecond pulsars, where X-ray emission is dominated by surface thermal radiation, the non-uniform surface radiation combined with rapid rotation leads to periodic X-ray pulsed signals to the observers. These pulse profiles are significantly influenced by Doppler, as well as by special and general relativistic effects, thus carrying crucial information about neutron star mass and radius and the ultra-dense matter. Consequently, constraining neutron star properties like mass and radius via X-ray pulse profiles has been the primary scientific objective of current (e.g., NASA's Neutron star Interior Composition Explorer, NICER, on board the International Space Station) and future X-ray timing observatories (e.g., China's enhanced X-ray Timing and Polarimetry mission, eXTP). Unlike many discovery-driven astronomical observational studies, constraining neutron star mass and radius using X-ray pulse profiles from rapidly rotating neutron stars requires precise and accurate theoretical calculations, the reason why some benchmark standards have been established in the past decades also in the X-ray timing astronomy community.
Constraining the neutron star equation of state by using X-ray timing signals has been a long-term scientific goal of the SHAO Observational High Energy Astrophysics Group on the frontier of relativistic astrophysics. Using pulse profiles from rotating neutron stars to constrain their mass and radius has been the primary method in X-ray timing. In 2016, the SHAO team proposed a new method to constrain the lower limit of neutron star radius using millihertz quasi-periodic oscillation signals in low-mass X-ray binaries, deriving a lower limit of the neutron star radius of approximately >11 km for the neutron star in the neutron star LMXB 4U 1636-53. They also determined that extreme single pulse of millihertz quasi-periodic oscillations can serve as future targets in order to obtain larger and tighter lower limits on neutron star radius (Stiele, Yu and Kong 2016). Reliable theoretical calculations of hot spot radiation from rapidly rotating neutron stars are the obstacle towards realizing the goal. During his Ph.D. studies at SHAO, Dr. Wenda Zhang started three-dimensional general relativistic ray-tracing calculations for the science of tidal disruption events of supermassive black holes. Through subsequent international postdoctoral research and collaborations, he developed the theories and the computational codes (named MONK, see Zhang et al. 2019) for three-dimensional general relativistic ray-tracing and radiative transfer in the strong gravitational fields of accreting black holes. This provided a solid foundation for the neutron star project. The calculations of the hot spot radiation for neutron stars by those leading international teams (including those within the NICER collaboration, primarily from multiple independent groups at the University of Maryland, the University of Illinois at Urbana-Champaign, and the University of Amsterdam) had taken over 20 years to achieve highly consistent benchmark results (see references in the paper: Miller & Lamb 1998; Lamb et al. 2009; Lo et al. 2013; Miller & Lamb 2015; Riley & Watts 2019). By developing MONK-NS from MONK, which incorporates general relativistic ray-tracing and radiative transfer calculations, the team rapidly achieved results in agreement with these international benchmark standards. The publication of this paper not only signifies the recognition by the leading international teams but also marks a milestone achievement in acquiring a critical theoretical tool for constraining the neutron star equation of state using X-ray pulse profiles.
Dr. Wenfei Yu, who initiated the project on probing the neutron star equation of state and a former member of the joint project at the University of Illinois and the University of Maryland, stated: "The accuracy and precision of MONK, developed for accreting black holes, is critical for us to test those benchmarks results and to fulfill the development of the independent MONK-NS. Its X-ray polarization calculation capability also makes MONK-NS the only theoretical tool that has passed benchmark comparisons and possesses the X-ray polarization calculation capabilities. With future X-ray timing observations, we hope to obtain more reliable, accurate and tighter constraint on the neutron star equation of state." Dr. Wenda Zhang, the first author of this work and the developer of MONK, of the National Astronomical Observatories of China, commented: "Our MONK-NS code can handle complex radiation processes within the complete framework of general relativity, which provides a more flexible and precise tool for studying surface emission and the potentially polarized radiation from the surfaces of rapidly rotating neutron stars.."
The research team includes Professor Wenfei Yu from the Shanghai Astronomical Observatory, Chinese Academy of Sciences, and Associate Professor Wenda Zhang from the National Astronomical Observatories, Chinese Academy of Sciences. The work at SHAO is supported by the National Natural Science Foundation of China (Grant No. 12373050).

Figure: Comparison of pulse profiles (top), polarization degree (middle), and polarization angle (bottom) calculated by MONK-NS for hot spots with different geometric shapes (Black, orange and blue dashed lines represent the results for circular, crescent, and eclipse hot spots, respectively). These provide benchmark standards for polarization radiation models. Credit: Zhang & Yu 2026.
Link to paper:
https://academic.oup.com/mnras/article/548/1/stag569/8539723
https://arxiv.org/abs/2603.20870
Science Contacts:
Wenfei Yu, wenfei@shao.ac.cn
Wenda Zhang, wdzhang@nao.cas.cn
Download attachments: